いつも『CABALオンライン』をご利用いただき、誠にありがとうございます。
CABALオンライン運営チームです。
CABAL19周年を記念いたしまして、カバルボールを探せ!イベントを開催いたします。
7つのカバルボールを集め、レアなアイテムをゲットしましょう!
詳細は下記をご確認ください。
--------------------[追記 2025/11/13 17:00]--------------------
カバルボールのドロップ一覧において、ペット関連アイテム(初期化キット、抽出キット、ペットネームカード)が
異常アイテムとしてドロップする不具合を確認し、11月13日(木)17:00にイベントを修正いたしました。
異常アイテムを獲得されたお客様には、11月14日(金)15:00にイベントインベントリへ正常アイテムを配布予定です。
この度は、皆様にご迷惑をおかけしておりますことを深くお詫び申し上げます。
--------------------[追記 2025/11/24 13:30]--------------------
カバルボール #3 のドロップリスト内「抽出キット(信頼)」の誤りが修正されていない問題があり、
本日8:50にイベントを修正いたしました。
誤ったアイテムを受領されたお客様には、本日14:00にイベントインベントリへ正しいアイテムを配布予定です。
この度はご不便をおかけし、誠に申し訳ございません。
--------------------[追記 2025/12/08 9:45]--------------------
お知らせ内容の中で、ドラゴンボックスのドロップリストにおいて、名称が変更されたアイテムが変更前の名称で案内されていた問題を確認し、修正いたしました。
該当アイテムは合計5件で、以下のリストよりご確認いただけます。
• コスチュームカプセル封印石 → 生命の紋章カプセル封印石
• 乗り物コスチュームカプセル封印石 → 大地の紋章カプセル封印石
• フォースウィングカプセル封印石 → 天空の紋章カプセル封印石
• コスチュームセーフティキット → 生命の紋章セーフティキット
• 乗り物コスチュームセーフティキット → 大地の紋章セーフティキット
この度はご不便をおかけし、誠に申し訳ございません。
<イベント実施期間>
2025年11月11日(火) メンテナンス後 ~ 2025年12月09(火) メンテナンス前まで
<イベントアイテム>

<ドロップダンジョンリスト>

<カバルボール #1 ドロップリスト>
| アイテム名 |
オプション |
属性 |
| HPポーション(特大)×50 |
50 |
アカウント帰属 |
| エクストリームコア Lv.1 |
- |
- |
| エクストリームコア Lv.2 |
- |
- |
| エクストリームコア Lv.3 |
- |
- |
| ブロンズリペアキット |
- |
- |
| オッドサークル ×2 |
2 |
アカウント帰属 |
| コアスーペリア(下級) |
- |
- |
| コアエンハンサー(下級) |
- |
- |
| 注視の鏡(ブロンズ) |
- |
- |
| 強化等級下降防止補助剤(下級) |
- |
- |
| 傭兵カードの欠片-リディ |
1 |
- |
| 傭兵カードの欠片-スカイルド |
1 |
- |
| 傭兵カードの欠片-アイザン |
1 |
- |
| 傭兵カードの欠片-エレナ |
1 |
- |
| ペットネームカード |
- |
- |
| 抽出キット(一般) |
- |
- |
| 名誉の秘薬(150,000) |
150,000 |
キャラクター帰属 |
| ブレッシングビード-経験値増加(200%)、使用10分、所有3日 |
- |
アカウント帰属 |
| ブレッシングビード-経験値増加(200%)、使用1時間、所有3日 |
- |
アカウント帰属 |
| ブレッシングビード-経験値増加(100%)、使用10分、所有3日 |
- |
アカウント帰属 |
| ブレッシングビード-経験値増加(100%)、使用1時間、所有3日 |
- |
アカウント帰属 |
| ブレッシングビード-スキル経験値増加(200%)、使用1時間、所有3日 |
- |
アカウント帰属 |
| ブレッシングビード-スキル経験値増加(100%)、使用1時間、所有3日 |
- |
アカウント帰属 |
| ブレッシングビード-WExp増加(100%)、使用2時間、所有3日 |
- |
アカウント帰属 |
| ブレッシングビード-WExp増加(200%)、使用2時間、所有3日 |
- |
アカウント帰属 |
| ブレッシングビード-ボックス追加ドロップ率増加(100%)、使用1時間、所有3日 |
- |
アカウント帰属 |
| ブレッシングビード-ボックス追加ドロップ率増加(200%)、使用1時間、所有3日 |
- |
アカウント帰属 |
| GMの祝福(Lv.1)聖水 |
1 |
アカウント帰属 |
| MPポーション(特大)×50 |
50 |
アカウント帰属 |
| [★★]カバルボール #2 |
1 |
キャラクター帰属 |
<カバルボール #2 ドロップリスト>
| アイテム名 |
オプション |
属性 |
| HPポーション(特大)×100 |
100 |
アカウント帰属 |
| エクストリームコア Lv.1 |
- |
- |
| エクストリームコア Lv.2 |
- |
- |
| エクストリームコア Lv.3 |
- |
- |
| エクストリームコア Lv.4 |
- |
- |
| エクストリームコア Lv.5 |
- |
- |
| ペットネームカード |
- |
- |
| 抽出キット(一般) |
- |
- |
| ブロンズリペアキット |
- |
- |
| シルバーリペアキット |
- |
- |
| 注視の鏡(ブロンズ) |
- |
- |
| 注視の鏡(シルバー) |
- |
- |
| オッドサークル ×3 |
1 |
アカウント帰属 |
| コアスーペリア(下級) |
- |
- |
| コアスーペリア(中級) |
- |
- |
| 強化等級下降防止補助剤(下級) |
- |
- |
| 強化等級下降防止補助剤(中級) |
- |
- |
| 傭兵カードの欠片-リディ |
1 |
- |
| 傭兵カードの欠片-スカイルド |
1 |
- |
| 傭兵カードの欠片-アイザン |
1 |
- |
| 傭兵カードの欠片-エレナ |
1 |
- |
| GMの祝福(Lv.1)聖水 |
1 |
アカウント帰属 |
| GMの祝福(Lv.2)聖水 |
1 |
アカウント帰属 |
| 名誉の秘薬(300,000) |
300,000 |
キャラクター帰属 |
| ブレッシングビード-経験値増加(200%)、使用10分、所有3日 |
- |
アカウント帰属 |
| ブレッシングビード-経験値増加(200%)、使用1時間、所有3日 |
- |
アカウント帰属 |
| ブレッシングビード-経験値増加(100%)、使用10分、所有3日 |
- |
アカウント帰属 |
| ブレッシングビード-経験値増加(100%)、使用1時間、所有3日 |
- |
アカウント帰属 |
| ブレッシングビード-スキル経験値増加(200%)、使用1時間、所有3日 |
- |
アカウント帰属 |
| ブレッシングビード-スキル経験値増加(100%)、使用1時間、所有3日 |
- |
アカウント帰属 |
| ブレッシングビード-WExp増加(100%)、使用2時間、所有3日 |
- |
アカウント帰属 |
| ブレッシングビード-WExp増加(200%)、使用2時間、所有3日 |
- |
アカウント帰属 |
| ブレッシングビード-ボックス追加ドロップ率増加(100%)、使用1時間、所有3日 |
- |
アカウント帰属 |
| ブレッシングビード-ボックス追加ドロップ率増加(200%)、使用1時間、所有3日 |
- |
アカウント帰属 |
| MPポーション(特大)×100 |
100 |
アカウント帰属 |
| [★★★]カバルボール #3 |
1 |
キャラクター帰属 |
<カバルボール #3 ドロップリスト>
| アイテム名 |
オプション |
属性 |
| フォースジェムパッケージ ×1 |
1 |
アカウント帰属 |
| 名誉の秘薬(500,000) |
500,000 |
キャラクター帰属 |
| ディバインストーンセット ×3 |
3 |
|
| ディバイン封印石 |
- |
- |
| ルミナス:セレナ |
1 |
キャラクター帰属 |
| ブレッシングビード-スーペリア(日本専用)、使用3日 |
- |
アカウント帰属 |
| ブレッシングビード-プラス(日本専用)、使用3日 |
- |
アカウント帰属 |
| キャラクタースロットエクステンダー(8番) |
- |
- |
| エクストリームコア Lv.3 |
- |
- |
| エクストリームコア Lv.4 |
- |
- |
| エクストリームコア Lv.5 |
- |
- |
| エクストリームコア Lv.6 |
- |
- |
| エクストリームコア Lv.7 |
- |
- |
| エクストリームコア Lv.8 |
- |
- |
| エクストリームコア Lv.9 |
- |
- |
| ペットネームカード |
- |
- |
| 抽出キット(信頼) |
- |
- |
| シルバーリペアキット |
- |
- |
| ゴールドリペアキット |
- |
- |
| 注視の鏡(シルバー) |
- |
- |
| 注視の鏡(ゴールド) |
- |
- |
| 上位オッドサークル ×2 |
2 |
アカウント帰属 |
| 古びた魔法書(中級) |
- |
- |
| 古びた魔法書(上級) |
- |
- |
| コアスーペリア(中級) |
- |
- |
| コアスーペリア(上級) |
- |
- |
| バイクパーツ(上級) |
1 |
- |
| バイクパーツ(最上級) |
1 |
- |
| 生命の紋章 エピックコンバーター-全スキル増幅 |
- |
- |
| 生命の紋章 エピックコンバーター-クリティカル率抵抗 |
- |
- |
| 生命の紋章 エピックコンバーター-全攻撃力 |
- |
- |
| 強化等級下降防止補助剤(上級) |
- |
- |
| 強化等級下降防止補助剤(最上級) |
- |
- |
| 強化等級下降防止補助剤(ディバイン) |
- |
- |
| 傭兵カードの欠片-リディ ×2 |
2 |
- |
| 傭兵カードの欠片-スカイルド ×2 |
2 |
- |
| 傭兵カードの欠片-アイザン ×2 |
2 |
- |
| 傭兵カードの欠片-エレナ ×2 |
2 |
- |
| GMの祝福(Lv.2)聖水 |
1 |
アカウント帰属 |
| GMの祝福(Lv.3)聖水 |
1 |
アカウント帰属 |
| シエナのブレスレットの欠片 |
1 |
- |
| [★★★★]カバルボール #4 |
1 |
キャラクター帰属 |
<カバルボール #4 ドロップリスト>
| アイテム名 |
オプション |
属性 |
| フォースジェムパッケージ ×3 |
3 |
アカウント帰属 |
| シエナのブレスレットの欠片 |
1 |
- |
| 名誉の秘薬(10,000,000) |
1,000,000 |
キャラクター帰属 |
| ディバインストーンセット ×5 |
5 |
アカウント帰属 |
| 強化の秘薬(1000)(所有3時間) |
1000 |
キャラクター帰属 |
| 強化の秘薬(1500)(所有3時間) |
1500 |
キャラクター帰属 |
| ディバイン封印石 |
- |
- |
| ブレッシングビード-プラス(日本専用)、使用7日 |
所有10日 |
アカウント帰属 |
| キャラクタースロットエクステンダー(8番) |
- |
- |
| エクストリームコア Lv.6 |
- |
- |
| エクストリームコア Lv.7 |
- |
- |
| エクストリームコア Lv.8 |
- |
- |
| エクストリームコア Lv.9 |
- |
- |
| エクストリームコア Lv.10 |
- |
- |
| ペットネームカード |
- |
- |
| 抽出キット(契約) |
- |
- |
| ゴールドリペアキット |
- |
- |
| 注視の鏡(ゴールド) |
- |
- |
| 最上位オッドサークル |
10 |
- |
| コアスーペリア(上級) |
- |
- |
| コアスーペリア(最上級) |
- |
- |
| 強化等級下降防止補助剤(上級) |
- |
- |
| 強化等級下降防止補助剤(最上級) |
- |
- |
| 強化等級下降防止補助剤(ディバイン) |
- |
- |
| 白夜のタイムピース ×50 |
50 |
アカウント帰属 |
| 黄昏のタイムピース ×50 |
50 |
アカウント帰属 |
| 黎明のタイムピース ×50 |
50 |
アカウント帰属 |
| バイクパーツ(上級) |
1 |
- |
| バイクパーツ(最上級) |
1 |
- |
| 生命の紋章 エピックコンバーター-クリティカルダメージ |
- |
- |
| 生命の紋章 エピックコンバーター-全スキル増幅 |
- |
- |
| 生命の紋章 エピックコンバーター-クリティカル率抵抗 |
- |
- |
| 生命の紋章 エピックコンバーター-全攻撃力 |
- |
- |
| 傭兵カードの欠片-リディ ×3 |
3 |
- |
| 傭兵カードの欠片-スカイルド ×3 |
3 |
- |
| 傭兵カードの欠片-アイザン ×3 |
3 |
- |
| 傭兵カードの欠片-エレナ ×3 |
3 |
- |
| バイクスロットコンバーター(中級) |
1 |
アカウント帰属 |
| バイクスロットコンバーター(上級) |
1 |
アカウント帰属 |
| パーフェクトコア(中級) |
- |
- |
| パーフェクトコア(上級) |
- |
- |
| バイク属性呪文書キューブ |
1 |
キャラクター帰属 |
| [★★★★★]カバルボール #5 |
1 |
キャラクター帰属 |
<カバルボール #5 ドロップリスト>
| アイテム名 |
オプション |
属性 |
| 幸運の秘薬(50,000,000) |
|
キャラクター帰属 |
| 強化の秘薬(1000) |
3h |
キャラクター帰属 |
| 強化の秘薬(1500) |
3h |
キャラクター帰属 |
| 強化の秘薬(2000) |
3h |
キャラクター帰属 |
| シエナ帰属解除石 |
- |
- |
| オフィディア帰属解除石 |
- |
- |
| ルミナスの欠片(3000) |
count(3000) |
キャラクター帰属 |
| 名誉の秘薬(1,500,000) |
1,500,000 |
キャラクター帰属 |
| ディバインストーンセット ×7 |
7 |
|
| ディバイン封印石 |
- |
- |
| ブレッシングビード-プラス(日本専用)、使用7日 |
- |
- |
| ブレッシングビード-スーペリア(日本専用)、使用7日 |
- |
- |
| エクストリームコア Lv.9 |
- |
- |
| エクストリームコア Lv.10 |
- |
- |
| エクストリームコア Lv.11 |
- |
- |
| 初期化キット |
1 |
- |
| 抽出キット(契約) |
- |
- |
| 武器アカウント帰属封印解除石 |
|
|
| 防具アカウント帰属封印解除石 |
|
|
| ドラゴンオーブ |
|
|
| ゴールドリペアキット |
- |
- |
| 注視の鏡(ゴールド) |
- |
- |
| 強化等級下降防止補助剤(最上級) |
- |
- |
| 強化等級下降防止補助剤(ディバイン) |
- |
- |
| 生命の紋章 エピックリセットスクロール |
- |
- |
| 大地の紋章 エピックリセットスクロール |
- |
- |
| 変換キット |
1 |
- |
| 白夜のアーティファクト |
- |
キャラクター帰属 |
| 黎明のアーティファクト |
|
キャラクター帰属 |
| 黄昏のアーティファクト |
- |
キャラクター帰属 |
| バイクパーツ(中級) |
1 |
- |
| バイクパーツ(上級) |
1 |
- |
| バイクパーツ(最上級) |
1 |
- |
| 天空の紋章 エピックリセットスクロール |
- |
- |
| ルミナスの欠片(1000) |
count(1000) |
キャラクター帰属 |
| 大地の紋章 エピックコンバーター(最上級)-全攻撃力 |
- |
- |
| 天空の紋章 エピックコンバーター-通常ダメージ増加 |
- |
- |
| エピックブースター(上級) |
- |
- |
| エピックブースター(最上級) |
- |
- |
| パーフェクトコア(上級)+14 |
- |
- |
| パーフェクトコア(最上級)+14 |
- |
- |
| バイク属性呪文書キューブ |
1 |
キャラクター帰属 |
| [★★★★★★]カバルボール #6 |
1 |
- |
<カバルボール #6 ドロップリスト>
| アイテム名 |
オプション |
属性 |
| 幸運の秘薬(100,000,000) |
|
キャラクター帰属 |
| シリウスの帰属解除石(最上級)-武器 |
- |
- |
| シリウスの帰属解除石(最上級)-防具 |
- |
- |
| バイクアカウント帰属封印石 |
- |
- |
| ルミナスの欠片(9999) |
count(9999) |
キャラクター帰属 |
| キリアンの扁桃核組織細胞 |
1 |
- |
| 名誉の秘薬(3,000,000) |
3,000,000 |
キャラクター帰属 |
| ディバインストーンセット ×10 |
50 |
アカウント帰属 |
| ディバイン封印石 |
- |
- |
| ブレッシングビード-プラス(日本専用)、使用15日 |
- |
- |
| キャラクタースロットエクステンダー(8番) |
- |
- |
| エクストリームコア Lv.10 |
- |
- |
| エクストリームコア Lv.11 |
- |
- |
| 初期化キット |
- |
- |
| ドラゴンオーブ |
- |
- |
| 極限強化封印石(ノーマル) |
- |
- |
| 強化等級下降防止補助剤(最上級) |
- |
- |
| 生命の紋章 エピックリセットスクロール |
- |
- |
| 大地の紋章 エピックリセットスクロール |
- |
- |
| 古びた魔法書(上級) |
- |
- |
| アストラルバイクカード - PW5 |
- |
- |
| バイクパーツ(上級) |
3 |
- |
| バイクパーツ(最上級) |
3 |
- |
| 生命の紋章 エピックコンバーター-貫通 |
- |
- |
| 生命の紋章 エピックコンバーター-クリティカルダメージ |
- |
- |
| 生命の紋章 エピックコンバーター-全スキル増幅 |
- |
- |
| 生命の紋章 エピックコンバーター-クリティカル率抵抗 |
- |
- |
| 生命の紋章 エピックコンバーター-全攻撃力 |
- |
- |
| エピックブースター(上級) |
- |
- |
| エピックブースター(最上級) |
- |
- |
| パーフェクトコア(上級)+15 |
- |
- |
| パーフェクトコア(最上級)+14 |
- |
- |
| バイク属性呪文書キューブ |
1 |
キャラクター帰属 |
| [★★★★★★★]カバルボール #7 |
1 |
- |
<カバルボール #7 ドロップリスト>
| アイテム名 |
オプション |
属性 |
| 幸運の秘薬(300,000,000)(キャラクター帰属) |
|
キャラクター帰属 / 所有3h |
| カオス封印石 |
- |
- |
| キャラクタースロットエクステンダー(8番) |
- |
- |
| エクストリームコア Lv.10 |
- |
- |
| エクストリームコア Lv.11 |
- |
- |
| 変換キット |
1 |
- |
| ペリウスの虚無の心臓 |
1 |
- |
| 記憶の欠片 |
1 |
- |
| ゴールドリペアキット |
- |
- |
| 注視の鏡(ゴールド) |
- |
- |
| 強化等級下降防止補助剤(最上級) |
- |
- |
| 古びた魔法書(上級) |
- |
- |
| アストラルバイクカード - QW7 |
- |
- |
| バイクパーツ(超越級) |
1 |
- |
| 生命の紋章 エピックコンバーター-貫通 |
- |
- |
| 生命の紋章 エピックコンバーター-クリティカルダメージ |
- |
- |
| 天空の紋章 エピックリセットスクロール |
- |
- |
| 生命の紋章 エピックリセットスクロール |
- |
- |
| 生命の紋章 エピックコンバーター-全攻撃力 |
- |
- |
| エピックブースター(最上級) |
- |
- |
| パーフェクトコア(最上級) |
- |
- |
| スロットエクステンダー(最上級) |
- |
- |
| 極限強化封印石(ノーマル) |
- |
- |
| パーフェクトコア(最上級)+14 |
|
|
| パーフェクトコア(最上級)+15 |
|
|
| パーフェクトコア(超越級) |
|
|
| バイク属性呪文書キューブ |
1 |
キャラクター帰属 |
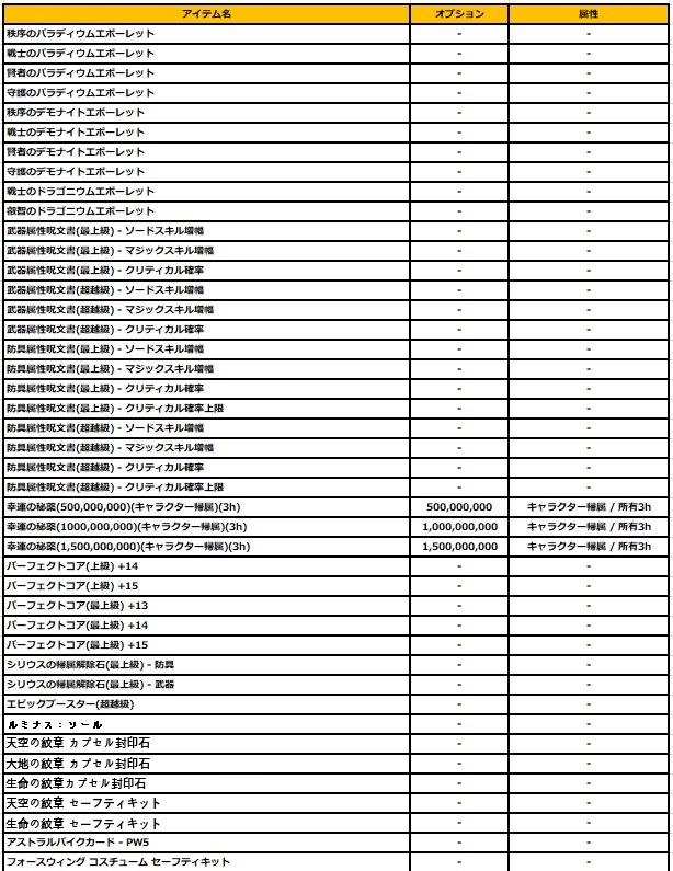
<ドラゴンのプレゼントボックスのドロップリスト>

<バイク属性呪文書のキューブドロップリスト>